书记信箱
院长信箱
纪委信箱

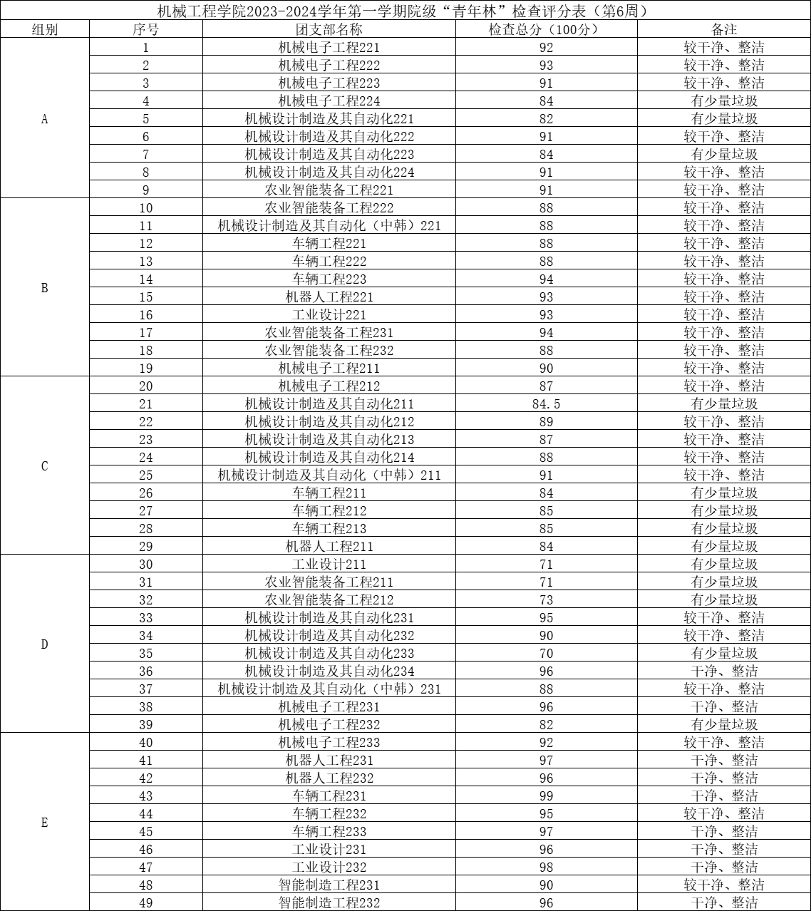
机械工程学院2023-2024学年第一学期院级“青年林”检查评分公示(第6周)

发布时间:2023-10-12 发布者:张立亮 点击:

机械工程学院2023-2024学年第一学期院级“青年林”检查评分公示(第6周)